Equations involving power

Power (P) is the energy transferred over time or rate of transfer of energy. It can be calculated by multiplying the voltage across a component by the current flowing through it:

P = V I

Where V is the voltage and I is the current.

As power is the energy transferred per unit time, you can multiply power by time to find the energy transferred (W).

W = Pt

W = V It

Where V is the voltage, I is the current and W is the energy transferred.

Below is an example in which you need to use the above formulas:

A lamp has a power of 60 W, and is connected to a power source of 240 V. Find the energy transferred by the lamp in 2 minutes and the current in the lamp.

To find the energy transferred you can use the formula , making sure time is W = Pt converted into seconds.

W = 60 × 120 = 7200 J

To find the current, you can use the (rearranged) formula I = P / V

I = 60 / 240 = 0.25 A

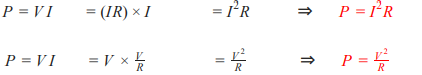
By using the Ohm’s law (V = IR), and the formula for power shown above (P = VI), you can derive two more formulas for calculating power.

diagram